|
专题三 生物圈中的人
(第四单元 2~6章;第八单元)
【要点梳理】
一、人体的营养
1.食物中含哪六大类营养物质?它们各有什么作用?缺乏时有什么现象?
2.消化系统由哪些消化器官组成?各消化腺分泌的消化液及作用是什么?淀粉、蛋白质、脂肪的消化过程及产物是什么?营养物质的主要消化和吸收器官是什么,它有哪些适于消化和吸收的特点?
3.怎样解读“平衡膳食宝塔”,怎样才能做到“合理饮食”?什么是“绿色食品”?
二、人体的呼吸
1.人体呼吸系统由哪些呼吸器官组成?各呼吸器官的结构和功能是什么?
2.肺的位置及功能?肺是怎样与外界进行气体交换的(吸气和呼气的过程)?肺泡有哪些适于进行气体交换的结构特点?肺泡是怎样与血液之间进行气体交换的?呼出气体和吸入气体成分有什么区别,这说明了什么?进入血液中的氧怎样到达每个组织细胞,又是怎样被利用的?
3.怎样解读“五点取样法”?如何用“五点取样法”测算空气中的尘埃粒子数量?
三、人体内物质的运输
1.人体血液的成分主要有哪些,它们各自起到什么作用?动脉、静脉、毛细血管的管壁厚度、弹性、管径、血液压力、血液流向和速度有何不同?静脉瓣起什么作用?
2.人体的肺循环与体循环的循环路线分别是什么?在这两条路径中血液各自发生了什么变化?怎样解读“心脏的结构和功能”?动脉瓣和房室瓣的开向与作用怎样?
3.输血应遵循的原则是什么?依据ABO血型系统可将血型分为哪四种?
四、人体内废物的排出
人体泌尿系统由哪些泌尿器官组成?各自具有什么功能?肾单位由哪些结构组成?尿液是如何形成并排出的?排尿的意义是什么?
五、人体生命活动的调节
1.眼和耳各由哪些结构组成,它们的功能(视觉和听觉的形成过程)是什么?近视的原理及矫正?
2.神经系统的组成及各部分的功能是什么?神经元的结构和功能是什么?
3.什么是反射和反射弧?简单反射与复杂反射之间的区别与联系分别是什么?试举出几个简单反射与复杂反射的实例并加以说明。
4.你能列举一下内、外分泌腺的不同点吗?人体主要的内分泌腺有哪些,它们的分泌物各是什么,各有什么作用,分泌异常时会表现出哪些病症?
六、健康的生活
1.传染病流行的基本环节和预防措施有哪些?
2.人体三道防线的组成及作用是什么?非特异性免疫、特异性免疫和计划免疫有什么区别?抗原与抗体是什么关系?(结合实例说明)抗原是如何产生的?免疫具有哪些功能?
3.人工呼吸和胸外心脏挤压的方法及注意事项是什么?
4.如何判断三种血管的出血情况并进行急救?
5.吸烟、喝酒有哪些危害,你能通过实验验证吗?
【典例分析】
【例题1】右图是淀粉在消化道内的消化和吸收过程图解,请回答下列问题:
分泌的。图中③所指的酶存在于 、
所分泌的消化液中。
(2)图中②所指的物质是 ,④所指的物质是 。
(3)物质④在 内由 的毛细血管直接吸收进入 。
【解析】本题所考察的是淀粉在消化道内的消化过程,涉及到的知识点包含:与淀粉消化有关的消化腺、消化液、消化酶以及淀粉被消化后的产物,小肠是消化吸收的主要部位。本题是以图解的形式出现的,直观呈现了淀粉在人体内的消化过程,所以在对知识点考查的同时也考查了抽象和形象思维的迁移能力。
【答案】(1)唾液淀粉酶 唾液腺 胰腺 肠腺 (2)麦芽糖 葡萄糖 (3)小肠 小肠绒毛 血液
【例题2】右侧曲线示意图为血液流经身体某器官时某种物质(氧气、二氧化碳或尿素)含量的变化,OC段表示器官中相连续的三种血管,回答问题:
(1)如果该曲线表示二氧化碳含量的变化,则OC为
内的血管。BC段血管中流的是 血。
(2)如果该曲线表示尿素含量的变化,则OC为 内的血管,BC段血管中的血液流入心脏四腔中的 。
(3)如果OC表示脑部的血管,则该曲线表示 含量的变化,OA段血管是
。(填“动脉、静脉或毛细血管”)
(4)无论血液流经什么器官,血液成分发生变化的AB段都是 血管,这种血管与物质交换功能相适应的结构特点是 。
【解析】这是一道集考查循环系统和泌尿系统于一体的综合题目,它主要以血液成分的变化为问题呈现,考查了血液在流经身体的不同部位时其成分所发生的变化。
【答案】(1)肺 动脉 (2) 肾 右心房 (3) 氧气 动脉 (4)毛细血管 管壁薄;只有一层扁平的上皮细胞构成;管径小,只允许红细胞单行通过。
【例题3】下表是正常人血浆、原尿、尿液中的主要物质常数的比较表,据表作答:
|
成 分
|
样品A
|
样品B
|
样品C
|
|
蛋白质
|
0
|
7~9
|
微量
|
|
葡萄糖
|
0
|
0.1
|
0.1
|
|
尿 素
|
2.0
|
0.03
|
0.03
|
|
无机盐
|
1.6
|
0.91
|
0.91
|
(1)样品 是原尿,它与样品B比较,几乎不含 。
(2)样品 是尿液,它与样品B比较, 和无机盐的浓度明显要高。
(3)样品A与样品C中的物质含量明显不同,这种差别主要是由于肾小管的 作用造成的。
【解析】本题考查的是尿液的形成过程。在尿液形成过程中主要有两个过程,即肾小球的过滤和肾小管的重吸收,同时伴随着成分的变化分别形成了原尿和尿液。
【答案】(1)C 蛋白质 (2) A 尿素 (3)重吸收
【例题4】下图是人体部分生理活动示意图。甲图为淀粉的消化终产物a进入血液和组织细胞的过程及部分相关的活动示意,请据图分析回答有关问题:
(1)a进入组织细胞后,在b的参与下被分解成CO2和水,并释放能量,该生理过程通过
作用实现的。
(2)正常情况下,d、e、f三种成分不含a的是 ,e进入血液的生理过程为 。
(3)在同一时刻测定某器官动脉和静脉血液内a、b、c三种物质的含量,其相对数值如图乙所示,该器官是 。
(4)有些药物常被封在淀粉制成的胶囊里服用,以避免对胃产生刺激,从淀粉在消化道内的消化特点来看,其原因是 。
【解析】本题综合了消化系统、循环系统、呼吸系统和泌尿系统的知识,从外界到体内,再从体内到外界,考察了综合运用知识的的能力,强调了掌握每一部分知识的重要性。
【答案】(1) 呼吸 (2)f 重吸收(3)肺(4)淀粉在胃内不被消化,使药物不能接触胃,避免了对胃的刺激。
【例题5】右图为反射弧示意图,请回答下面的问题:
(1)若此图表示人看到话梅分泌唾液的反射,则此反射的感受器位于眼球的[ ] 上,[B]代表的结构是 ,[C]代表的结构是 。
(2)若此图表示人听到铃声走进教室的反射,则此反射的感受器在耳结构中的[ ] 内,[B]代表的结构是 ,[C]代表的结构是 。
(3)若此图表示手偶然碰到火立即缩手的反射,则此反射的神经中枢位于 内,[D]是此反射的 ,[E]是此反射的 。
(4)在上述的反射弧结构中,[B]、[C]、[D]、[E]所接受的刺激一般都是 。
(5)分析汽车司机看到红灯停车的反射示意图:红灯→感受器→神经中枢→效应器→停车,请回答问题:
“红灯”的反射光进入司机眼球成像的先后顺序是: (用字母和箭头表示);将物像刺激转变为神经冲动的结构是 。
A.角膜 B.晶状体 C.视网膜 D.瞳孔
【解析】本题综合考查了反射弧结构、视觉形成的过程、大脑的作用等知识。该题以神经冲动的产生和传导为主线,将知识综合起来并结合生活中的具体场景进行了考查。一个完整的反射活动是各部分共同协调作用的结果。反射孤的五部分组成分别是感受器、传入神经、神经中枢、传出神经和效应器。看到话梅分泌唾液的感受器在视网膜上,神经中枢在大脑皮层,效应器是神经末梢以及其支配的唾液腺;听到铃声走进教室的感受器在耳蜗,听觉的形成也在大脑皮层;缩手反射的感受器在皮肤中,神经中枢在脊髓灰质。特别提示:感受器是将刺激转化成兴奋(神经冲动)的结构;一切感觉形成于大脑皮层。
【答案】(l)A 视网膜 视神经 大脑皮层与视觉有关的区域 (2)A 耳蜗 听觉神经 大脑皮层与听觉有关的区域 (3)脊髓(缩手反射中枢) 传出神经 效应器 (4)神经冲动 (5) A→D→B→C C
【专题训练】
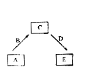
1.右图表示淀粉、脂肪和蛋白质在消化道中各器官(依次用A、B、C、D、E表示)被消化的程度。请回答问题:
(1)X在A处开始被消化,原因是A中具有可以消化X的消化酶—— ,在该酶的作用下,X被分解为 。
(2)Y在C处开始被消化,可知物质Y是 ,消化该物质的酶是 。
(3)三种物质均可在D处被消化和吸收,D器官与此功能相适应的特点是:
。
(4)胆汁也是一种消化液,与其它消化液相比不含 ,那么,胆汁对脂肪的消化起什么作用呢?请选用下面的材料进行探究。
材料:猪胆汁、花生油、清水、2支试管、滴管、量筒等。
①探究方案:
②预测现象:
③得出结论:
2.右图一为模拟呼吸运动的装置图,图二为肺的内部结构示意图。请分析回答:
(1)当手向上顶起4时,2的变化是 ,所表示的呼吸过程是 ,在这一呼吸运动过程中,肋骨间的肌肉处于 状态。
(2)肺泡与其进行气体交换这一功能相适应的结构特点是 。气体交换在[ ] 内进行。
(3)假设血液由A流向B处,则B处的血液流回心脏的哪一个腔? 。
(4)资料:吉林延边朝鲜族自治州发生大面积一氧化碳中毒,造成277人出现中毒症状,32人住院抢救,15人死亡。一氧化碳中毒严重时会危及人的生命。原因是大量的一氧化碳能和 结合,造成全身缺氧。对一氧化碳中毒患者救护时,如发现停止呼吸,应立即在空气新鲜的场所对其实施 ,同时拨急救电话“120”求助。
3.观察心脏结构,回答问题:
(1)心脏四个腔的名称:一是 ,二是
,三是 ,四是 。
(2)心脏四个腔中壁最厚的是 ,和它相连的血管是 。
(3)在心脏的 之间、 之间都有防止血液倒流的瓣膜。
(4)在连接心房的血管中,血液里含氧较少,含营养物质较多的血管是[ ] 。
(5)当人体发生煤气中毒时,血液中的一氧化碳首先通过图中[ ] 进入心脏。
(6)如果对心脏进行灌注实验,向[7]内注水,则水将从[
] 流出。
(7)某人患感冒,若静脉注射药物,则该药物经过心脏各腔的先后顺序是 。(填数码)
(8)假设某人大腿股动脉出血,你认为该如何救助?
4.右图是肾单位结构模式图,请据图回答:
(1)血液从[ ] 滤过到[ ] 成为原尿。
(2)原尿经过[ ]
的 作用,形成尿液。
(3)与[3]内液体相比,[6]内液体不含 。
(4)与原尿相比,尿中不含 ,因为 。
(5)尿的形成包括
和 两个过程。
(6)图中流动脉血的结构序号是 。
(7)肾单位中血液由动脉血变静脉血是在 。
5.下图为人体内部分生理过程示意图,其中A、B、C表示物质,①、②表示过程。请回答:
     (1)食物所含的六类营养成分中,不经过过程①直接进行过程②的物质是 、
、 。
(2)在观察活体材料时,发现某血管只允许甲细胞单行通过,那么,该血管在结构上适于物质交换的特点是 。
(3)在肺泡内发生气体交换后,血液发生的变化是 。物质B进入乙细胞后的作用是 。
(4)除A外,人体新陈代谢还产生许多其他废物,它们随血液流经肾单位时,经过
和 两个重要的生理过程形成尿液。
(5)如果C为葡萄糖,在正常情况下它在血液中的浓度保持相对稳定。某人空腹时的血糖浓度经常高于正常范围,最可能的原因是他体内的 分泌不足。
(6)人体各项生命活动能够统一协调进行,有赖于 的调节作用。
6.请你围绕着“A.吃梅止渴 ;B.望梅止渴 ;C.谈梅止渴”,回答相关问题:
(1)反射弧中有传入神经、传出神经,它们均是由一条条的 集结成束,外面包有一层膜形成的。
(2)以上三个活动中,属于复杂反射是 ;属于简单反射是 ;人类特有的反射活动的是 。(填写代表反射的字母)。
(3)用名称和箭头表示出:在A过程中完成分泌唾液的反射弧,其组成以及传导方向是 。其中分泌的唾液既有消化的功能又有免疫的功能,唾液的免疫功能属于 (特异性、非特异性)免疫。
(4)在完成B过程的能够看到梅的反射弧中,感受器位于 上,接受刺激后产生兴奋,兴奋最终传导到 ,形成 。
7.请就“探究烟草浸出液对水蚤心率影响的实验”回答有关问题:
(1)水蚤很微小,观察临时装片上水蚤心率要用到 和计时器。
(2)一只水蚤只能做两次实验,应先在 中观察,再在另一浓度的烟草浸出液中观察。其先后顺序不能颠倒,因为 。
(3)某同学配制烟草浸出液的方法是:取A、B、C、D四个小烧杯,分别加入50毫升、40毫升、30毫升、20毫升清水,再分别向四个烧杯中加入一支同种香烟的等量烟丝,浸泡一昼夜,滤汁备用。假如实验结果如下表:
|
液体种类
|
清水
|
A杯滤液
|
B杯滤液
|
C杯滤液
|
D杯滤液
|
|
10秒内心跳次数
|
35
|
36
|
37
|
39
|
41
|
分析水蚤在不同液体中的心率,你可得出的结论是:烟草浸出液对水蚤心率 影响,且烟草浸出液浓度越高,水蚤的心率越 。
(4)请据(3)题表中结果画出烟草浸出液对水蚤心率影响的曲线图。

|