问题:己知A. B. C. D. E为初中化学中常见的五种不同类别的物质,其中A为年产量最高的金属单质,各
提问者:教育家教网160602
详细内容:

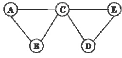
己知A. B. C. D. E为初中化学中常见的五种不同类别的物质,其中A为年产量最高的金属单质,各种物质间的反应和转化关系如图所示(“公,表示相连的两种物质之间可发生反应,“一表示一种物质可以转化为另一种物质;反应条件、部分反应物和生成物己略去),请写出:(1B的化学式    

      (2) DE反应的化学方程式               

解答1:
回答者:教育家教网160602       回答时间:2016-06-06 17:08:08
审核状态:未审核
解答内容:
解答简介:

只有答案

分享到: 0
点击收缩

在线客服

进步平台网
在线客服